Skip to content
ALL Metrics
-
Views
102
Downloads
Get PDF
Get XML
Cite
Export
Track
Research Article

Comparison of clinical outcomes between active and permissive blood pressure management in extremely preterm infants

[version 1; peer review: 2 approved with reservations]
PUBLISHED 24 Jan 2023
Author details Author details
OPEN PEER REVIEW
REVIEWER STATUS

Abstract

Background

There remains uncertainty about the definition of normal blood pressure (BP), and when to initiate treatment for hypotension for extremely preterm infants. To determine the short-term outcomes of extremely preterm infants managed by active compared with permissive BP support regimens during the first 72 hours of life.

Method

This is a retrospective medical records review of 23+0–28+6 weeks’ gestational age (GA) infants admitted to neonatal units (NNU) with active BP support (aimed to maintain mean arterial BP (MABP) >30 mmHg irrespective of the GA) and permissive BP support (used medication only when babies developed signs of hypotension) regimens. Babies admitted after 12 hours of age, or whose BP data were not available were excluded.

Results

There were 764 infants admitted to the participating hospitals; 671 (88%) were included in the analysis (263 active BP support and 408 permissive BP support). The mean gestational age, birth weight, admission temperature, clinical risk index for babies (CRIB) score and first haemoglobin of infants were comparable between the groups. Active BP support group infants had consistently higher MABP and systolic BP throughout the first 72 hours of life (p<0.01). In the active group compared to the permissive group 56 (21.3%) vs 104 (25.5%) babies died, and 21 (8%) vs 51 (12.5%) developed >grade 2 intra ventricular haemorrhage (IVH). Death before discharge (adjusted OR 1.38 (0.88 – 2.16)) or IVH (1.38 (0.96 – 1.98)) was similar between the two groups. Necrotising enterocolitis (NEC) ≥stage 2 was significantly higher in permissive BP support group infants (1.65 (1.07 – 2.50)).

Conclusions

There was no difference in mortality or IVH between the two BP management approaches. Active BP support may reduce NEC. This should be investigated prospectively in large multicentre randomised studies.

Plain Language Summary

Plain English summary

The problem: Doctors are still not clear what the normal blood pressure (BP) is for premature babies during the first three days of life. Furthermore, it is unclear when to start treatment for low BP in preterm babies born at or before 28 weeks of gestation.

What we did: We compared clinical outcomes of a group of preterm babies who were treated with medication to maintain BP above 30mmHg (‘active BP treatment’ group) to a group of babies who were treated when they developed signs of low BP (‘permissive BP treatment’ group) from two large Neonatal Intensive Care Units (NICU) in London, UK.

How we tested it: Preterm babies born between 23 and 28 weeks gestation were studied. Babies admitted after 12 hours of age, or whose BP information was not available were excluded. BP measurements for the first 72 hours of life, and clinical outcome details of babies from NICU admission to discharge home were collected from medical records.

What we found: There was no difference in the level of prematurity, birth weight, and severity of illness score at admission between the active BP treatment and permissive BP treatment group babies. Active BP treatment group babies had a higher BP throughout the first 72 hours of life. There was no important difference in the number of babies who died or developed moderate grade brain haemorrhage between the active BP treatment group compared to the permissive BP treatment group. A significantly lower number of the active BP treatment group babies developed necrotising enterocolitis (NEC, inflammation of gut).

Conclusions: There was no difference in death or brain haemorrhage in babies between the two BP treatment methods. Active BP treatment during the first 72 hours of life may reduce NEC in preterm babies. This should be studied in large multicentre clinical studies.

Keywords

Blood pressure, Preterm infants, Active BP support, Permissive BP support, Hypotension

Background

There is considerable uncertainty in the definition of hypotension and when to treat hypotension in very preterm infants1,2. There is ambiguity regarding treating hypotension based on a specific blood pressure (BP) value and the subsequent clinical outcomes of preterm infants37. Clinicians tend to treat low BP in premature infants with an aim to improve or stabilise cerebral perfusion. However, evidence for the effect of mean arterial BP (MABP) on cerebral perfusion is conflicting4,812. In some studies there was an association between babies with a mean MABP ≤30 mm Hg having higher rates of intraventricular haemorrhage (IVH)7,13. Recently Butticci and colleagues have reported that a significantly higher numbers of very preterm infants with MABP ≤30 mm Hg had abnormal brain MRI findings compared to babies with MABP >30 mm Hg during the first 48 hours of life8. However there is limited evidence to suggest that anti-hypotensive therapies improve outcomes for preterm infants, and growing concern that these therapies may be harmful14,15. Due to a lack of clear evidence, the clinical practice of treating hypotension for preterm infants varies among clinicians across the world1619.

A number of trials have examined the drugs used to support BP6,20,21, but the studies comparing outcomes of extreme preterm infants treated at different BP intervention levels are limited22. The aim of this study was to compare the short-term outcomes of extremely preterm babies managed in two hospitals which had different policies for the management of BP, one with an active (MABP maintained >30 mm Hg) and one with a permissive (only treated if baby develops symptomatic hypotension) BP support regimen during the first 72 hours of life.

Methods

Study design

This was a retrospective medical records review study. The neonatal unit outcomes of all extreme preterm babies were compared between Hospital A, which aims to maintain BP above 30 mmHg irrespective of the gestational age (GA) (active BP support group) and Hospital B, which uses medication only if babies developed clinical signs of low BP (permissive BP support group). The criteria used for intervention in the permissive BP support group was mean arterial blood pressure (MABP) lower than the gestational age in weeks of the infant with clinical evidence of poor perfusion (poor skin colour/capillary refill time >3 secs, urine output <1ml/kg/hour from weighing of urine, lactate >3mmol/l, worsening base deficit/base deficit >8mmol/l and/or increasing oxygen requirement). Both centres had a comparable BP management protocol, consisting of initial 0.9% saline bolus of 10 to 20 ml/kg, followed by dopamine, and then the addition of other inotropes if required, to achieve the predetermined active and permissive BP support.

Participants

All preterm infants born at 23+0–28+6 weeks gestation admitted to two neonatal units over 4 years from 1st January 2007 to 31st December 2010 were eligible. Babies admitted after 12 hours of age, with major congenital abnormalities, and whose intensive care observational charts (to collect BP data) were not traceable, were excluded.

Primary and secondary outcome measures

The primary outcomes were death or parenchymal brain abnormality on cranial ultrasound scan before discharge home. Secondary outcome measures were BP during the first three days after birth and ≥ stage 2 necrotising enterocolitis (NEC).

Data collected

Pregnancy complications (antenatal Doppler findings, chorioamnionitis, hypertension), condition of the baby at birth (clinical risk index for babies (CRIB) score, cord pH and lactate), and demographics of infants were collected using electronic patient record (EPR) and BadgerNet (UK national neonatal EPR). Hourly systolic (SBP) and mean arterial (MABP) BP data were collected from intensive care charts. Inotropic medications, fluid bolus, red blood cell and other blood products used were gathered from medication and/or prescription charts. Short-term outcomes such as necrotising enterocolitis (NEC), intraventricular haemorrhage (IVH)/brain injury identified by brain ultrasound scan (USS), bronchopulmonary dysplasia (BPD), patent ductus arteriosus (PDA), death or discharge, and duration of BAPM levels of care provided were collected from BadgerNet. NEC was defined by Bell’s stage of classification23. BPD was defined as oxygen dependency at 36 weeks post conceptional age24. PDA was confirmed by echocardiography. Accuracy of BP data was confirmed by two researchers randomly verifying 10% of BP data collected.

Statistical analysis

The outcomes for the babies treated by active and permissive BP management approaches were compared. Adjustments were made for all available confounders between the two groups. The association of the babies’ BP with outcomes was examined, in order to provide evidence that it is the difference in blood pressure management between the two groups rather than other unspecified treatments that were affecting the outcomes. For continuous variables student t-tests and for categorical variables chi-squared tests or Fisher-exact tests were performed. The 95% confidence interval (CI) of the means was calculated. Univariate and multivariate regression analysis to adjust for birth weight, GA, sex, chorioamnionitis and ethnicity were performed. All statistical inference was based on the two-sided test with a significance level of p<0.05. Data was analysed using Stata v12 software, an open-access alternative that can perform an equivalent function is RStudio

Ethics approval

The study was approved by NRES Committee London–Westminster in 2011 and formal consent was not required as we used anonymised routinely collected clinical data (REC Ref No – 11/LO/1117).

Results

A total of 764 infants born between 23+0 to 28+6 weeks’ gestation were admitted to participating hospitals; 279 infants in the active BP support group and 485 infants in the permissive BP support group were studied25. 93 (11%) infants were excluded resulting in 263 infants in the active BP support group and 408 infants in the permissive BP support group being included in the study (Figure 1). The mean gestational age, birth weight, admission temperature, CRIB score and first haemoglobin (Hb) of infants were comparable between the two groups. Babies from the permissive BP support group were more acidotic at birth. Maternal ethnicity was significantly different between the two centres (Table 1). A significantly higher number of babies in the permissive group were born to mothers with pregnancy complications. There was no difference in antenatal steroid administration between the groups. A significantly higher number of babies in the active group were out-born (Table 1).

f1b461cc-dd0a-499d-8c42-13d8b7c505dd_figure1.gif

Figure 1. Diagram of patients included to the study.

Table 1. Maternal and infant characteristics.

VariableCategories/
measures
Active BP support group
(n - 263)
Permissive BP
support group
(n - 408)
P-value
Pregnancy complicationsYes (%)201 (88.9)342 (93.7)0.04
Antenatal Doppler abnormality0.61
Abnormal (%)34 (17.4)66 (19.1)
Chorioamnionitis0.37
Yes (%)31 (11.8)58 (14.2)
Pregnancy Induced Hypertension
(PIH)
0.58
Yes (%)31 (11.8)54 (13.2)
Antepartum haemorrhage (APH)0.06
Yes (%)44 (16.7)92 (22.6)
Antenatal steroidYes (%)247 (93.9)381 (93.6)0.87
Infant SexMale (%)149 (56.7)205 (50.3)0.11
Female (%)114 (43.4)203 (49.8)
Gestational Age (weeks)Mean (95% CI) 26.2 (25.9 – 26.4)26.2 (26.0 – 26.3)0.94
Birthweight (g)Mean (95% CI) 853.1 (824.9 – 881.2)834.2 (814.3 – 854.2)0.27
Ethnicity n (%)Caucasians (%)85 (32.3)173 (42.5)0.001
Black African &
Black Caribbean (%)
72 (27.4)148 (36.4)
Asian (%)94 (35.7)73 (17.9)
Mixed (%)12 (4.6)13 (3.2)
Place of birth n (%)Inborn (%) 187 (71.1)322 (78.9)0.02
Out-born (%)76 (28.9)86 (21.1)
Admission Temperature (°C)Mean (95% CI)36.4 (36.3 – 36.5)36.4 (36.3 – 36.5)0.98
Base excess (mmol/l)Mean (95% CI)-5.5 (-6.1 to -4.9)-6.4 (-6.9 to -5.9)0.03
First Hb (g/dl)Mean (95% CI)14.7 (14.4 – 15.1)14.7 (14.4 – 14.9)0.69
CRIB ScoreMean (95% CI)11.3 (10.9 – 11.7)10.9 (10.6 – 11.2)0.16

Hb – Haemoglobin

CRIB Score - Clinical Risk Index for Babies scoring system

BP measurements and management

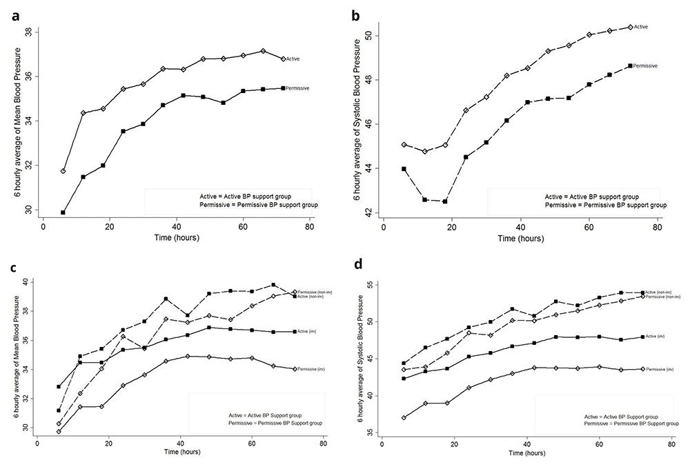
A significantly higher number of active BP support group infants were started on and treated for a longer duration with inotropic medications (Table 2). Infants from the permissive group received a significantly larger volume of blood transfusions. There was no significant difference in other blood products or crystalloid received between the two groups (Table 3). In both groups, MABP and SBP increased over time, with a slight decrease in SBP from the 6th to 18th hour and then a consistent increase till 72 hours of life. Infants managed by active BP support had consistently higher MABP and SBP throughout the first 72 hours of life compared to permissive group of infants (p<0.01; Figure 2).

Table 2. Management of blood pressure (BP).

InotropeCategories/
measures
Active BP support
group (n= 263)
Permissive BP support
group (n=408)
P-value
Inotrope n (%) Yes < 72 hrs145 (55.1)137 (33.6)0.001
Yes ≥72 hrs18 (6.8)25 (6.1)
Day of starting
inotrope if late
median (range)17 (4 – 96)21 (4 – 92) 0.88
Total Inotrope
days (Early start)*
median (range)4 (1 – 41)2 (1 – 16) <0.01
Total Inotrope
days (Late start)**
median (range)7 (4 – 41) 2 (4 – 14)0.01
Inotrope drugs n (%)Dopamine112 (42.6)111 (27.2))0.0001
Inotrope drugs n (%)Any
Combination
50 (19.0)49 (12.0)0.01

*Early start: inotropes started <72 hours, **Late start: >72 hours

●Any Combination includes: Dopamine + Dobutamine + Noradrenaline +Adrenaline

Table 3. Blood products and crystalloids used during the first 72 hours of life.

Colloids/CrystalloidsActive BP support group
(n= 263); Mean (95% CI)
Permissive BP support group
(n=408); Mean (95% CI)
P-value
RBC (ml/kg)25.4 (23.5 – 27.4)29.5 (27.5 – 31.5) 0.006
FFP (ml/kg)19.70 (17.64 – 21.75)22.01 (19.64 – 24.39)0.17
Cryoprecipitate (ml/kg)15.63 (13.47 – 17.77)17.19 (15.5 – 18.89)0.29
Platelets15.74 (14.55 – 16.93)17.61 (14.4 – 20.79)0.23
Normal saline bolus (ml/kg)15.05 (13.54 – 16.55)14.32 (13.84 – 16.81)0.60
Total volume (excluding RBC)11.5 (9.6 – 13.5)
(n=168; (63.9%))
15.4 (13.1 – 17.7)
(n=150; (36.8%))
0.014
Total volume (including RBC)29.2 (25.8 – 32.6)
(n=191; (72.6%))
31.9 (28.1 – 35.7)
(n=270; (66.2%))
0.32

RBC – Red blood cells; FFP – Fresh Frozen Plasma; n – number of infants (%)

f1b461cc-dd0a-499d-8c42-13d8b7c505dd_figure2.gif

Figure 2.

Comparison of 6 hourly mean arterial blood pressure (MABP) (Figure 2a), systolic blood pressure (SBP) (Figure 2b) and separated invasive and non-invasive MABP (Figure 2c) and SBP (Figure 2d).

BP support and clinical outcomes

Death before discharge was similar between the two groups. 56 (21.3%) babies died in the active group compared to 104 (25.5%) in the permissive group (p 0.21). The odds ratio (aOR) of death in the permissive compared with the active regimen remained non-significant even after adjustment for risk factors: 1.38 (0.88 – 2.16). 75 (28.5%) babies developed all grades of IVH in the active group compared to 140 (34.3%) in the permissive group (p 0.12). 21 (8.0%) infants developed >grade 2 IVH in the active group compared to 51 (12.5%) in the permissive group but this was not significant (p 0.07). The aOR of all grades of IVH and >stage 2 IVH in the permissive compared with active regimen were 1.38 (0.96 – 1.98) and 1.71 (0.99 – 2.97) respectively. A significantly lower number of infants in the active BP support group [n=37 (14.1%)] developed ≥stage 2 NEC compared to the permissive group [85 (20.8%), p 0.03]. The aOR of ≥stage 2 NEC in the active compared with permissive regimen was 1.65 (1.07 – 2.50). A significantly higher number of the active BP support group infants [n=63 (25.7%)] received medical treatment for haemodynamically significant PDA compared to the permissive group [64 (16.9%), p 0.01]. There was no difference in PDA requiring surgical treatment between the active [18 (9.0%)] and the permissive groups [29 (8.4%), p 0.82]. There was slightly increased incidence of BPD in infants in the active BP regimen [107 (41.8%) vs. 138 (34.8%), p 0.07] (Table 4).

Table 4. BP management and short-term outcomes.

OutcomesActive BP support
group (n = 263); n (%)
Permissive BP support
group (n = 408); n (%)
Unadjusted odds of (OR)
Permissive Vs Active BP
Support group (95% CI)
Adjusted odds of (aOR)
Permissive Vs Active BP
Support group (95% CI)
Death before discharge56 (21.3)104 (25.5)1.27 (0.87 – 1.83)1.38 (0.88 – 2.16)
Periventricular
leukomalacia (PVL)
1 (0.4)2 (0.5)--
All grades of IVH75 (28.5)140 (34.3)1.31 (0.94 – 1.83)1.38 (0.96 – 1.98)
IVH: >grade 221 (8.0)51 (12.5)1.65 (0.97 – 2.80)1.71 (0.99 – 2.97)
NEC: All grades74 (28.1)119 (29.2)1.05 (0.75 – 1.48)1.06 (0.75 – 1.50)
NEC: ≥Stage 237 (14.1)85 (20.8)1.61 (1.05 – 2.45)1.65 (1.07 – 2.50)
PDA: Medical treatment63 (25.7)64 (16.9)0.66 (0.47 – 0.94)0.61 (0.41 – 0.89)
PDA: Med + Surgical
treatment
18 (9.0)29 (8.4) 
BPD 107 (41.8)138 (34.8)0.75 (0.54 - 1.03)0.74 (0.53 – 1.02)
Length of stay (days);
median (IQR)
Difference in mean days
(unadjusted) Permissive
vs Active BP support
Difference in mean days
(adjusted) Permissive vs
Active BP support*
Intensive Care days24 (11 – 44)23 (9 – 43)0.94 (0.79 – 1.11)0.90 (0.77 - 1.05)
High Dependency days29 (13 – 42)25 (15 – 36)0.82 (0.70 - 0.95)0.82 (0.71 - 0.95)
Special Care Baby Unit days 34 (123- 42)40 (30 – 51)1.21 (1.08 - 1.36)1.20 (1.08 - 1.36)

OR – Odds Ratio

aOR - adjusted for birth weight, gestational age, sex, antenatal steroids and chorioamnionitis

Significant PDA – means Patent Ductus Arteriosus (PDA) that was treated medically by the attending clinicians

BPD – Bronchopulmonary Dysplasia (Oxygen dependency at 36 weeks post conceptional age)

The median (IQR) special care baby unit (SCBU) care days was significantly lower for infants in the active group [34 (123-42)] compared to the permissive BP regimen [40 (30-51); p <0.01]. Permissive BP support group infants received significantly lower duration of High Dependency (HD) care days [aOR 0.82 (0.71 - 0.95)] and longer duration of SCBU care days [aOR 1.20 (1.08 - 1.36)] compared to the active group (Table 4).

Discussion

The present study investigated the short-term clinical outcomes of a large number of infants born between 23+0 to 28+6 weeks gestation managed in two different hospitals using active or permissive BP support. The rate of death or brain injury on cranial ultrasound scan before discharge from the neonatal unit did not differ significantly between the two groups. Active BP support group infants had significantly lower ≥stage 2 NEC. Clinically relevant PDA was significantly lower in infants managed by permissive BP support. Infants treated by active BP support received significantly longer HD care days and the permissive BP support group infants received significantly longer SCBU care days.

Similar to our study findings, there was no difference noticed in death and brain injury on cranial USS at 36 weeks post conceptional age (PCA) in infants born before 28 weeks gestation in a recently published double blind randomised clinical trial (RCT) (n=58 infants) of infants randomised to standard BP management (dopamine) or restrictive BP management (5% dextrose placebo) when MABP dropped below the infant’s gestational age22. The permissive approach has been actively promoted in recent years1 but there is some evidence which supports the use of the active approach. Cerebral blood flow may be auto-regulated at MABP of ≥30 mmHg and be pressure passive <30 mmHg in preterm infants12. Miall-Allen et al. have reported that infants born at mean GA of 27 weeks who had MABP of <30 mm Hg developed significantly more severe IVH and early death than those with a MABP of >30 mm Hg7,26. Similar to the present study findings, Pereira et al. in a RCT of active (maintain MABP >30 mm Hg), moderate (MABP equivalent to GA) and permissive (symptomatic hypotension) management of BP found no difference in all grades of IVH or death between the groups, but there was a higher rate of grade 2–4 IVH in the moderate arm group in comparison to active group6. Higher number of babies in the permissive group developed >grade 2 IVH in the present study but it was not statistically significant; the mortality and IVH is comparable to the national average27.

NEC ≥stage 2 was significantly lower in infants managed by active BP support in the present study. There is no comparable published study in the literature, and we speculate this could be because of improved intestinal perfusion during the first 72 hours of life. However, Batton et al. investigated preterm babies (23–26 weeks) who did or did not receive anti-hypotensive therapy and found no association between BP and development of severe NEC. There was no association between infants who developed one episode of isolated hypotension during the first 72 hours of life and NEC, irrespective of whether they were treated for hypotension or not, in a subgroup of EPIPAGE 2 cohort study28. In a retrospective case control study, Haefeli et al. reported that hypotension did not increase the risk of NEC in infants with PDA29. Similar to the present study, Faust and colleagues reported that severe NEC was lower among babies with high BP compared to babies with low BP during the first 24 hours of life3. Maternal pregnancy complications were higher among the permissive group. Maternal pregnancy induced hypertension has been reported to increase the risk for developing neonatal NEC. Researchers speculate uteroplacental insufficiency could lead to fetal hypoxia, which may induce a hypoxic-ischemic state in the intestine or in its mucosa in the antenatal period30. In animal experiments, hypoxia and ischaemia of the gut wall are important in the pathogenesis of gut injury and NEC31,32. We have shown that, following a blood transfusion for preterm babies (<28 weeks gestation) in need of the transfusion, both BP (SBP and MABP) and intestinal perfusion increases proportionately during the first week of life33, and that the increase in intestinal perfusion is more pronounced than cerebral perfusion34.

There was no difference in gestational age, birth weight, sex and severity of illness at birth between the two groups of infants studied. Hb at birth has been reported to be associated with mortality and short-term outcomes in very preterm infants35, but there was no difference in Hb at birth between the active and permissive groups. Antenatal steroid administration is similar between the groups and it is comparable to the national average36. A significantly higher number of babies were out-born in the active group and a significantly higher number of babies were born to mothers with complications of pregnancy in the permissive group; both factors are known to affect the outcomes of very preterm infants36,38. As expected, a significantly higher number of babies received inotropic medications, and for a longer duration in active group. Babies in the permissive group received a higher volume of red blood cell (RBC) transfusions, which has been reported to be associated with adverse outcomes39. Fluid bolus during the first 48 hours of life may be associated with IVH in preterm infants40. However, there was no difference in the total volume of 0.9% saline bolus or combined total normal saline and blood products received by two groups in our study. In both groups BP steadily increased over the first 72 hours of life as noticed by other researchers41,42. However, the systolic BP and MABP were significantly higher throughout the first 72 hours of life in the active support group compared to the permissive group of infants. Hence, the study findings are likely due to the difference in BP management regimens.

There was a significant difference in ethnicity among infants studied; Asian ethnicity was higher in the active unit, with Black and White ethnicities higher in the permissive group. It is well documented that babies from Black ethnic groups are at increased risk for NEC43, and the incidence of NEC was also noted to be higher among babies from the Asian ethnic group compared to white babies37,44,45. Babies managed at the hospital with active BP support had a significantly longer duration of high dependency care days, as most of these babies were out-born and therefore transferred back to their local hospital once stable enough to be transferred, spending their SC days at the local hospital. In contrast, most babies in permissive BP support group were in-born and within the hospital catchment area, and remained in the same hospital until discharged home, resulting in significantly longer special care days. BPD was lower among babies treated with permissive BP support compared to active support group; this could be due to higher use of inotropic medication or overall ventilator support strategy in the active BP support group. Faust K et al., in their observational cohort study found higher rates of BPD amongst babies with lower MABP3. Higher number of babies in the active BP support group received treatment for PDA; this is likely due to variation in clinical practice of treating PDA between centres46.

Strengths and limitations

We have investigated a large number of infants with active and permissive BP support approach from two tertiary neonatal units; one unit followed the active and the second unit the permissive approach. Previous studies investigating BP management, use of inotropes and clinical outcomes of preterm infants have included less than 100 infants born at ≤30 weeks gestational age57,22. We have excluded ex-utero babies who were admitted to participating units after 12 hours of age to avoid bias due to difference in BP management practice in referring hospitals. Confounding factors which may influence the clinical outcomes studied were taken into consideration to avoid bias and make the study findings more reliable47,48. Both babies with invasive and non-invasive BP monitored were included to reflect the actual clinical practice. There was a significant difference in both SBP and MABP throughout the first 72 hours of life between the active and permissive BP support group of infants studied. The main limitation of the study is that we have compared outcomes of infants between two hospitals based on BP management practice but not investigated other practice differences which could impact on outcomes of extremely preterm infants. The other limitation is the retrospective nature of the study, but only eight infants were excluded because of missing BP data. Also, except for the actual hourly BP data, the rest of the data were collected from prospectively entered EPR. The data on actual time of starting and dosage of inotropes used was not collected. We have not collected data on sedation and paralysis which could affect BP49,50. Time of umbilical cord clamping was not collected and placental transfusion is known to influence initial BP and outcomes of preterm infants51.

Conclusion

This is one of the largest studies comparing clinical outcomes of babies managed by active and permissive BP support in preterm infants. The different policies were associated with differences in achieved BP and circulatory support treatments. There was no difference in mortality or IVH between the two BP management approaches. However, babies in the active BP support group had less severe IVH. There was some suggestion that babies in the active BP support group had a lower risk of NEC. This cohort study suggests some potentially important clinical differences which should be investigated prospectively in large multicentre randomised controlled studies, and the results of this study can be used to inform sample size calculations for such studies.

Comments on this article Comments (0)

Version 2
VERSION 2 PUBLISHED 24 Jan 2023
Comment
Author details Author details
Competing interests
Grant information
Copyright
Download
 
Export To
metrics
VIEWS
3243
 
downloads
102
Citations
CITE
how to cite this article
Aladangady N, Sinha A, Banerjee J et al. Comparison of clinical outcomes between active and permissive blood pressure management in extremely preterm infants [version 1; peer review: 2 approved with reservations]. NIHR Open Res 2023, 3:7 (https://doi.org/10.3310/nihropenres.13357.1)
NOTE: If applicable, it is important to ensure the information in square brackets after the title is included in all citations of this article.
track
receive updates on this article
Track an article to receive email alerts on any updates to this article.

Open Peer Review

Current Reviewer Status: ?
Key to Reviewer Statuses VIEW
ApprovedThe paper is scientifically sound in its current form and only minor, if any, improvements are suggested
Approved with reservations A number of small changes, sometimes more significant revisions are required to address specific details and improve the papers academic merit.
Not approvedFundamental flaws in the paper seriously undermine the findings and conclusions
Version 1
VERSION 1
PUBLISHED 24 Jan 2023
Views
22
Cite
Reviewer Report 13 Apr 2023
Liam Mahoney, University Hospitals Bristol and Weston NHS Foundation Trust, Bristol, UK 
Approved with Reservations
VIEWS 22
Thank you for asking me to review this manuscript. This is an interesting study that adds to the body of literature surrounding this important area of neonatology that is contentious and under-researched. 

Many of the suggestions I ... Continue reading
CITE
CITE
HOW TO CITE THIS REPORT
Mahoney L. Reviewer Report For: Comparison of clinical outcomes between active and permissive blood pressure management in extremely preterm infants [version 1; peer review: 2 approved with reservations]. NIHR Open Res 2023, 3:7 (https://doi.org/10.3310/nihropenres.14485.r29154)
NOTE: it is important to ensure the information in square brackets after the title is included in all citations of this article.
  • Author Response 17 Nov 2023
    Narendra Aladangady, Department of Neonatology, Homerton University Hospital, Homerton Healthcare NHS Foundation Trust, London, E9 6SR, UK
    17 Nov 2023
    Author Response
    Dr Liam Mahoney
    University Hospitals Bristol and Weston NHS Foundation Trust
    Bristol, UK

    Dear Dr Mahoney,
    Thank you for reviewing our manuscript. Thank you for your encouraging comments: ‘This ... Continue reading
COMMENTS ON THIS REPORT
  • Author Response 17 Nov 2023
    Narendra Aladangady, Department of Neonatology, Homerton University Hospital, Homerton Healthcare NHS Foundation Trust, London, E9 6SR, UK
    17 Nov 2023
    Author Response
    Dr Liam Mahoney
    University Hospitals Bristol and Weston NHS Foundation Trust
    Bristol, UK

    Dear Dr Mahoney,
    Thank you for reviewing our manuscript. Thank you for your encouraging comments: ‘This ... Continue reading
Views
23
Cite
Reviewer Report 13 Mar 2023
Eugene M. Dempsey, INFANT Research Centre, Department of Paediatrics and Child Health, University College Cork, Cork, County Cork, Ireland;  Department of Neonatology, Cork University Maternity Hospital, Cork, Ireland 
Approved with Reservations
VIEWS 23
Thank you for asking me to review this manuscript. It compares two approaches to blood pressure management, one unit aiming to maintain mean BP greater than 30 mmhg and the other a more permissive approach to management. The manuscript is ... Continue reading
CITE
CITE
HOW TO CITE THIS REPORT
Dempsey EM. Reviewer Report For: Comparison of clinical outcomes between active and permissive blood pressure management in extremely preterm infants [version 1; peer review: 2 approved with reservations]. NIHR Open Res 2023, 3:7 (https://doi.org/10.3310/nihropenres.14485.r29010)
NOTE: it is important to ensure the information in square brackets after the title is included in all citations of this article.
  • Author Response 17 Nov 2023
    Narendra Aladangady, Department of Neonatology, Homerton University Hospital, Homerton Healthcare NHS Foundation Trust, London, E9 6SR, UK
    17 Nov 2023
    Author Response
    Professor Eugene M. Dempsey
    University College Cork, Cork, Ireland
    Cork University Maternity Hospital, Cork, Ireland

    Dear Professor Dempsey,

    Thank you for reviewing our article and your positive comments. ... Continue reading
COMMENTS ON THIS REPORT
  • Author Response 17 Nov 2023
    Narendra Aladangady, Department of Neonatology, Homerton University Hospital, Homerton Healthcare NHS Foundation Trust, London, E9 6SR, UK
    17 Nov 2023
    Author Response
    Professor Eugene M. Dempsey
    University College Cork, Cork, Ireland
    Cork University Maternity Hospital, Cork, Ireland

    Dear Professor Dempsey,

    Thank you for reviewing our article and your positive comments. ... Continue reading

Comments on this article Comments (0)

Version 2
VERSION 2 PUBLISHED 24 Jan 2023
Comment
Alongside their report, reviewers assign a status to the article:
Approved - the paper is scientifically sound in its current form and only minor, if any, improvements are suggested
Approved with reservations - A number of small changes, sometimes more significant revisions are required to address specific details and improve the papers academic merit.
Not approved - fundamental flaws in the paper seriously undermine the findings and conclusions

Are you an NIHR-funded researcher?

If you are a previous or current NIHR award holder, sign up for information about developments, publishing and publications from NIHR Open Research.

You must provide your first name
You must provide your last name
You must provide a valid email address
You must provide an institution.

Thank you!

We'll keep you updated on any major new updates to NIHR Open Research

Sign In
If you've forgotten your password, please enter your email address below and we'll send you instructions on how to reset your password.

The email address should be the one you originally registered with F1000.

Email address not valid, please try again

You registered with F1000 via Google, so we cannot reset your password.

To sign in, please click here.

If you still need help with your Google account password, please click here.

You registered with F1000 via Facebook, so we cannot reset your password.

To sign in, please click here.

If you still need help with your Facebook account password, please click here.

Code not correct, please try again
Email us for further assistance.
Server error, please try again.